Exercice 1 :
soit u1(1.-1.-1) ,u3(.1,1,4) et u3(-1.-1.1) trois vecteurs de IR3
1) Montrer que B = (u1, u3, u3) est une base de IR3)
2) Déterminer les coordonnées du vecteur u(1,2.3) dans la base 8
3) Plus généralement, exprimer en fonction de x, y et z les coordonnées au vecteur u(x, y,z) dans la base B.
Exercice 2 :
Soit f une application de IR3 vers IR3 définie par
![]()
1) Montrer que f est une application linéaire et donner la matrice A de f relativement à la base canonique de IR3
2) Déterminer une base et ta dimension de Ker(f) et Im(f)
3) Montrer que A2 = A.
4) A est elle inversible si oui. calculer A-1 .
Exercice 3 :
Trois capitaux en progression arithmétique dont la somme est 24000 DH. On place le premier capital à 12% pendant 2 ans. le deuxième à 8% pendant 3 ans et le troisième à 9.6% pendant 40 mois. La somme des intérêts produis est 6720 DH
1. Calculer les 3 capitaux sachant que la somme des intérêts est de 6720 dirhams’,
2. Déduire que les intérêts produits forment une progression géométrique.
3. Calculer le taux moyen de ces trois placements.
Exercice 4 :
Une personne place 40000 OH le 1ére janvier 2005 à un taux d’intérêts composés de 5% par an. Elle fait un premier retrait six ans plus tard, en janvier 2011, pour financer un projet. En janvier 2015, le solde total est de 34769,15
1 Quel était le montant du retrait effectué en 2011? •
2. Si cette personne veut à nouveau arriver au solde initial de 40000 OH, combien d’années de placement seront nécessaires ?
Corrigé : (Cliquez sur les image pour les agrandir )
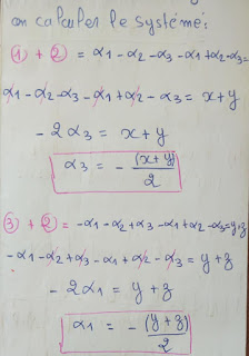
Exercice 1 :
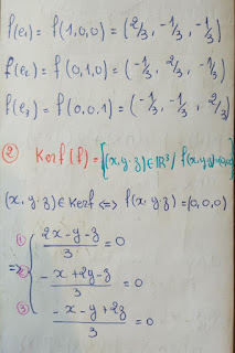
Exercice 2 :
Exercice 3
Exercice 4 :




























